先自爆家门,只有一个110大号,ms,主治疗。目前神器27级,知识等级10,装等867。不要问我有没有橙色,拒绝回答这个问题。团队进度H7/7,我还是比较满意的,毕竟乡下小服。5人本,M10/10,不算小姐姐fb的话,我是9月10号通的,第一个CD的后两天由于不能上线只打通了4/8M,苏拉玛实在不太喜欢做,堕夜精灵又很丑,直到9月末开秘境之前才把声望弄到8000,开了这两个本。秘境的话,最高打过2个词缀,然后笑着看别人的钥匙碎掉,应该算是一般不那么肝的玩家,同样应该也没有落后。我并没有练第二个号,除了大号,别的都是100级,目前大多数都在蘑菇山等着每周四刷星光龙。然而那拉克似乎不出星光龙,就像米米尔隆不掉飞机头一样
可能有人会问,你能代表全部么?当然不可以,但是根据我身边玩伴和亲眼所见的游戏玩家来看,现在阶段大家的神器普遍在25-28,知识等级在9-10左右。最早满级的一批玩家应该是10级等级,比较能肝的神器应该可以达到30,可能到30,可能到30,只是可能。
昨天下午在集合石上面打通剩下的几个5M之后,基友都没上线,我发现,攒了一堆的1900能量吃下去,才涨了不到1/3的进度条。我开始思考一个问题:为什么现在的知识等级获取的能量,在当前的神器等级如此的杯水车薪。今天下午,由于实在受不了学校破网无限319之后,我做了两个图,以期找到我应该等多久的神器知识等级再开始继续肝起来。
于是就有了第一张图(图1):神器知识等级,对应的能量获取加成。

然后发现不对,这是什么鬼,Logistic都拟合不上。然后想,应该用神器知识等级和对应的能量增长做图。于是就有了这张图(图2),就很对了。

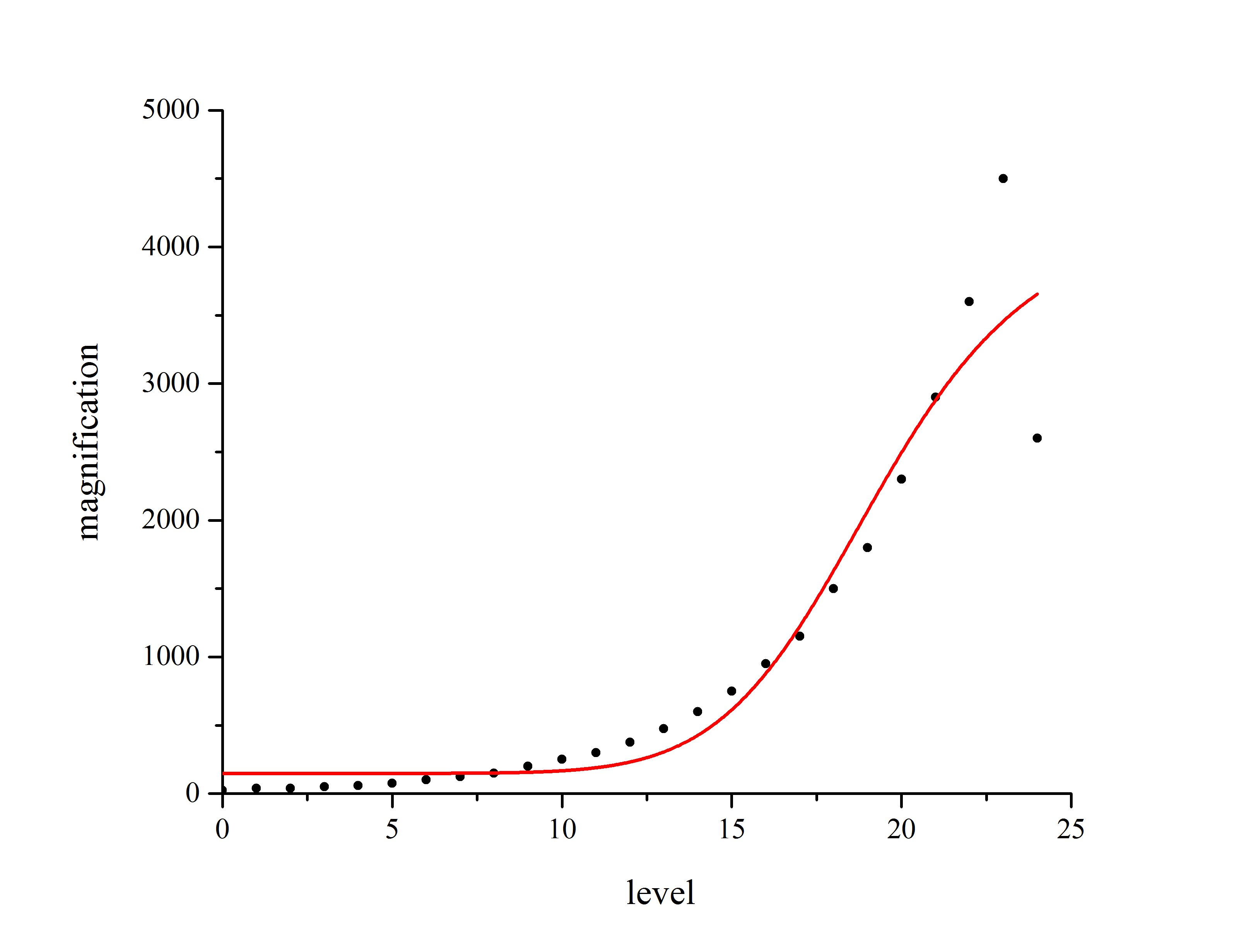
做好了神器知识等级对应能量获取加成图之后,有必要做一张神器等级和能量的图,因为现在的每次升级的能量获取,有较大增长。如图(图3):

1. 神器知识等级和神器能量消耗的增长始终是一个变化相似的过程,但是实际上能量消耗增加的速度始终领先于神器知识等级;
2. 现在阶段(25级之后的神器等级和10级的神器知识等级)神器能量获取低于当前等级的需要。需要付出更多的时间和经历,如果不想那么累,可以适当休息1-2个cd,等神器知识等级提高到13或者14再继续冲神器等级会很舒服。(听说有人神器满34了,也只是道听途说,并没有亲眼看到,粗略心算需要突破天际次数的高层秘境,不就在讨论范围之内了)。
3. 在神器知识等级达到20以上之后,再开始升巅峰等级会很舒服。因为从34-巅峰1这个阶段消耗的能量巨大,甚至巅峰等级的前面几个级别的增长。所以,这一段应该是下一个最难过的阶段了。
这算是一个意外的发现,当大部分玩家达到一个神器等级之后,神器知识等级的加成不足以完成正常活动下当前的能量获取。出现了一个矛盾,就是要继续肝下去然而付出(时间精力)的更多,收益却不够好(神器等级提高),那么玩家势必会选择休息,减少游戏时间,作为设计师和运营商当然不会希望这个事情出现,那么必然会有刺激玩家上线的行为,那么就是7.1上线。根据之前的图看到那个上升很难得阶段,就是7.1的开放时间,这个时间是可以从神器知识等级来推算出来的。
那么继续推测是否又可以推断出7.2的上线时间呢?
额外说一句:不得不佩服blz的设计师的精妙设计,让玩家在即将累死的时候再打一鞭子,继续快马前进,着实是一个让人佩服的点。同样作为玩家也感受到了这个版本设计师浓浓的恶意,“你以为如何如何,想得美!”同样也是给那些“我比暴雪聪明系列”大部分玩家一记响亮的耳光(这里不否认有些玩家提供的意见很不错,blz也会采纳,然而大部分都是不具有可行性的),“游戏依然是在玩你”。